8.9.3.63 IfcSeventhOrderPolynomialSpiral(七阶多项式螺旋线)
8.9.3.63.1 语义定义(Semantic definition)
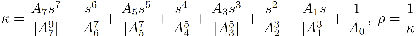
IfcSeventhOrderPolynomialSpiral 是 IfcSpiral 的特化形式。曲线上任意点的曲率 κ 和曲率半径 ρ 与弧长 s 通过七阶公式相关联:
Figure 8.9.3.63.A 参数解释:
C = SELF\IfcSpiral.Position.Location x = SELF\IfcSpiral.Position.P[1] y = SELF\IfcSpiral.Position.P[2] A7 = SepticTerm A6 = SexticTerm A5 = QuinticTerm A4 = QuarticTerm A3 = CubicTerm A2 = QuadraticTerm A1 = LinearTerm A0 = ContantTerm
七阶多项式螺旋线的参数化表示为:
Figure 8.9.3.63.B 其中:
Figure 8.9.3.63.C 参数范围为:-∞ < u < ∞。
8.9.3.63.2 实体继承(Entity inheritance)
-
- IfcCurve
- IfcAnnotationFillArea
- IfcBooleanResult
- IfcBoundingBox
- IfcCartesianPointList
- IfcCartesianTransformationOperator
- IfcCsgPrimitive3D
- IfcDirection
- IfcFaceBasedSurfaceModel
- IfcFillAreaStyleHatching
- IfcFillAreaStyleTiles
- IfcGeometricSet
- IfcHalfSpaceSolid
- IfcLightSource
- IfcPlacement
- IfcPlanarExtent
- IfcPoint
- IfcSectionedSpine
- IfcSegment
- IfcShellBasedSurfaceModel
- IfcSolidModel
- IfcSurface
- IfcTessellatedItem
- IfcTextLiteral
- IfcVector
8.9.3.63.3 特性(Attributes)
| # | 特性(Attributes) | 类型 | 描述 |
|---|---|---|---|
| IfcRepresentationItem (2) | |||
| LayerAssignment | SET [0:1] OF IfcPresentationLayerAssignment FOR AssignedItems |
将表示项分配给单个或多个层。LayerAssignments 可以覆盖其所在的 IfcRepresentation 的 Items 列表中的 LayerAssignments。 |
|
| StyledByItem | SET [0:1] OF IfcStyledItem FOR Item |
引用为表示提供表现信息的 IfcStyledItem,例如,为几何曲线提供曲线样式,包括颜色和厚度。 |
|
| IfcCurve (1) | |||
| * | Dim | IfcDimensionCount |
此属性是形式化派生的
此抽象类的空间维度,所有子类(如 IfcLine、IfcConic 和 IfcBoundedCurve)的定义各不相同。 |
| IfcSpiral (1) | |||
| 1 | Position | IfcAxis2Placement |
无可用描述 |
| 点击显示 4 个隐藏的继承特性 点击隐藏 4 个继承特性 | |||
| IfcSeventhOrderPolynomialSpiral (8) | |||
| 2 | SepticTerm | IfcLengthMeasure |
定义曲线曲率与弧长关系中七次项常数的常数。 |
| 3 | SexticTerm | OPTIONAL IfcLengthMeasure |
定义曲线曲率与弧长关系中六次项常数的常数。 |
| 4 | QuinticTerm | OPTIONAL IfcLengthMeasure |
定义曲线曲率与弧长关系中五次项常数的常数。 |
| 5 | QuarticTerm | OPTIONAL IfcLengthMeasure |
定义曲线曲率与弧长关系中四次项常数的常数。 |
| 6 | CubicTerm | OPTIONAL IfcLengthMeasure |
定义曲线曲率与弧长关系中三次项常数的常数。 |
| 7 | QuadraticTerm | OPTIONAL IfcLengthMeasure |
定义曲线曲率与弧长关系中二次项常数的常数。 |
| 8 | LinearTerm | OPTIONAL IfcLengthMeasure |
定义曲线曲率与弧长关系中一次项常数的常数。 |
| 9 | ConstantTerm | OPTIONAL IfcLengthMeasure |
定义曲线曲率与弧长关系中常数项常数的常数。 |
8.9.3.63.4 形式化表示(Formal representation)
ENTITY IfcSeventhOrderPolynomialSpiral
SUBTYPE OF (IfcSpiral);
SepticTerm : IfcLengthMeasure;
SexticTerm : OPTIONAL IfcLengthMeasure;
QuinticTerm : OPTIONAL IfcLengthMeasure;
QuarticTerm : OPTIONAL IfcLengthMeasure;
CubicTerm : OPTIONAL IfcLengthMeasure;
QuadraticTerm : OPTIONAL IfcLengthMeasure;
LinearTerm : OPTIONAL IfcLengthMeasure;
ConstantTerm : OPTIONAL IfcLengthMeasure;
END_ENTITY;