8.9.3.56 IfcReparametrisedCompositeCurveSegment(重参数化复合曲线段)
8.9.3.56.1 语义定义(Semantic definition)
IfcReparametrisedCompositeCurveSegment 在几何上与 IfcCompositeCurveSegment 相同,但具有重新参数化的附加能力。
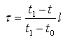
如果 t~0~ ≤ t ≤ t~1~ 是 ParentCurve 的参数范围,则重参数化复合曲线段的新参数由以下方程给出:
如果 SameSense = TRUE; 或由以下方程给出:
Figure 8.9.3.56.A 如果 SameSense = FALSE;
Figure 8.9.3.56.B
8.9.3.56.2 实体继承(Entity inheritance)
-
- IfcSegment
- IfcAnnotationFillArea
- IfcBooleanResult
- IfcBoundingBox
- IfcCartesianPointList
- IfcCartesianTransformationOperator
- IfcCsgPrimitive3D
- IfcCurve
- IfcDirection
- IfcFaceBasedSurfaceModel
- IfcFillAreaStyleHatching
- IfcFillAreaStyleTiles
- IfcGeometricSet
- IfcHalfSpaceSolid
- IfcLightSource
- IfcPlacement
- IfcPlanarExtent
- IfcPoint
- IfcSectionedSpine
- IfcShellBasedSurfaceModel
- IfcSolidModel
- IfcSurface
- IfcTessellatedItem
- IfcTextLiteral
- IfcVector
8.9.3.56.3 特性(Attributes)
| # | 特性(Attributes) | 类型 | 描述 |
|---|---|---|---|
| IfcRepresentationItem (2) | |||
| LayerAssignment | SET [0:1] OF IfcPresentationLayerAssignment FOR AssignedItems |
将表示项分配给单个或多个层。LayerAssignments 可以覆盖其所在的 IfcRepresentation 的 Items 列表中的 LayerAssignments。 |
|
| StyledByItem | SET [0:1] OF IfcStyledItem FOR Item |
引用为表示提供表现信息的 IfcStyledItem,例如,为几何曲线提供曲线样式,包括颜色和厚度。 |
|
| IfcSegment (3) | |||
| 1 | Transition | IfcTransitionCode |
在IfcCompositeCurve及其子类型中,从该管片最后一点到下一管片第一点的过渡状态(即几何连续性)。 |
| UsingCurves | SET [1:?] OF IfcCompositeCurve FOR Segments |
使用该复合曲线管片作为管片的复合曲线集合。此集合不得为空。 |
|
| * | Dim | IfcDimensionCount |
此属性是形式化派生的
此抽象类的空间维度,通过具体子类型的特定函数处理,该函数返回ParentCurve属性(在两个子类型上定义)的维度。 |
| IfcCompositeCurveSegment (2) | |||
| 2 | SameSense | IfcBoolean |
一个指示器,指示段的方向是否与父曲线一致或相反。如果 SameSense 为 false,则参数值最高的点被视为段的第一个点。 |
| 3 | ParentCurve | IfcCurve |
定义段几何形状的有界曲线。 |
| 点击显示 7 个隐藏的继承特性 点击隐藏 7 个继承特性 | |||
| IfcReparametrisedCompositeCurveSegment (1) | |||
| 4 | ParamLength | IfcParameterValue |
无可用描述 |
8.9.3.56.4 形式化命题(Formal propositions)
8.9.3.56.5 形式化表示(Formal representation)
ENTITY IfcReparametrisedCompositeCurveSegment
SUBTYPE OF (IfcCompositeCurveSegment);
ParamLength : IfcParameterValue;
WHERE
PositiveLengthParameter : ParamLength > 0.0;
END_ENTITY;
如果 SameSense = TRUE;
或由以下方程给出:
如果 SameSense = FALSE;